信使 Messengers
Messenger 是一个消息传递机制,它可以让对象之间进行通信,而不需要它们之间有直接的引用关系。从设计模式的角度来说,Messenger 其实是中介者模式的一种实现。

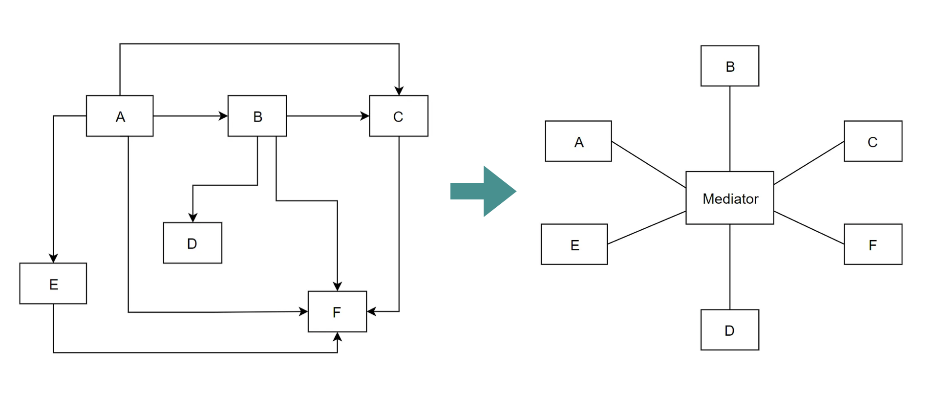
可以看出,在使用中介者模式之后,各模块之间不再呈现出网状结构,而是变成了星状结构。这样一来,模块之间的耦合就会大大降低,代码也会变得更加简洁。
Messenger 的不同叫法
Messenger 在很多 MVVM 框架中均能找到它的身影。虽然叫法不同,但是背后的原理及逻辑都是相通的。这里列举几个常见框架的叫法:
- CommunityToolkit.Mvvm:Messenger(信使)
- Prism:EventAggregator(事件聚合)
- ReactiveUI:MessageBus(消息总线)
在有 Messenger 之前
设想一下,平常如果想要实现两个 ViewModel 之间的通信(比如 A 调用 B 的方法,或 A 获取 B 中某个属性的值),我们会采用哪些做法呢?一般来说无外乎下面几种:
- 想办法将 B 的实例的引用传递给 A,比如将 B 的实例保存为 A 的成员(属性或字段),然后在 A 中调用访问这个成员(引用的传递通常在 A 的构造函数中完成)
- 在 A 中定义一个事件,然后在 B 中订阅这个事件(这里仍然需要想办法传递引用),当 A 中触发这个事件时,B 中的方法就会被调用
- 为 B 实现单例模式,然后在 A 中通过
B.Instance来调用 B 的方法或获取 B 的属性值
但是这些方法均存在一个问题:模块之间存在耦合。比如,如果我们想要将 B 替换成 C,那么就需要修改 A 的代码;更糟的是,如果我们想让 A 能够与更多的类通信,那么就需要在 A 中添加更多的属性、事件或方法。这样一来,类与类之间的耦合就会越来越严重,代码也会变得越来越难以维护。
Messenger 背后的原理
Messenger 背后的原理可以想象成一个字典,它的键是消息的类型,值是一个委托列表。在注册时,我们会将类的对象和一个回调函数(委托)作为值添加到字典中;在发送消息时,我们会根据消息的类型从字典中取出对应的委托列表,然后依次调用这些委托。